2025-08-01创建
一个数除4,5,6都余1,求这个数的最小可能值
$x-1 = (4,5,6)k$
$x= (4,5,6)k +1$
一个数除4,5,6分别余3,4,5(差1个整除),求这个数的最小可能值
$x+1 =(4,5,6)k$
$x = (4,5,6)k-1$
一个数除4余3,除5余2,除6余1(和相同),求这个数的最小可能值
$$\begin{cases}x-3 = 4k_1 \\x-2 = 5k_2 \\ x-1 = 6k_3 \end{cases}$$
$$\begin{cases}x-7 = 4k_1-4 \\x-7 = 5k_2-5 \\ x-7 = 6k_3-6 \end{cases},说明(x-7)可以被4,5,6整除$$
$x-7 = (4,5,6)k$
$x = (4,5,6)k+7$
题目中有可能不会直观的体现和同、余同、差同,例如除2余1等价于除2差1等价于除2多1,要会转化
e.g.除5余3,除8余4
$5k_1+3 = 8k_2+4$
$5(k_1-k_2)=3k_2+1,令k_2取值满足整数要求,这里取k_2=3$
代入求得即可
x,y,z为质数,倒数和为$\frac{1661}{1986}$,求xyz的和
$通分发现分母即为xyz,于是将1986用短除法得到3个质因数,即为xyz$
x∈Z,$x^2+8x-20$为质数,求这个质数。
$x^2+8x-20\rightarrow (x-2)(x+10)为质数 \rightarrow 其中一个为1,另一个即为质数本身。讨论$
$x*y = (x,y)*[x,y]$
$$\begin{cases} x = ak\\y = bk\\(x,y) = k\\ [x,y]=abk\\(a,b)=1\end{cases}$$
e.g.最大公因数是6,最小公倍数是72,解xy
k=6,abk = 72,ab =12,由于ab互质
讨论ab的多种组合 1x12?3x4?2x6?(排除)
将ak,bk分别带入看哪个满足题设

$a^2-b^2 = (a+b)(a-b)$
$abab公式:ab-ma-nb +mn=(a-n)(b-m)$
$(1).\frac{1}{n(n+k)}=\frac{1}{k}*(\frac{1}{n}-\frac{1}{n+k})$
$(2).\frac{n-1}{n!}=\frac{1}{(n-1)!}-\frac{1}{n!}$
$(3).\frac{1}{\sqrt{n+k}+\sqrt{n}}=\frac{1}{k}(\sqrt{n+k}-\sqrt{n})$
$(4).(a+b)(a^2+b^2)(a^4+b^4)+...(a^{2^n}+b^{2^n})=\frac{(a-b)(a+b)(a^2+b^2)(a^4+b^4)+...(a^{2^n}+b^{2^n})}{a-b}$
$1-\frac{1}{n}型$:
$(1-\frac{1}{2})*(1-\frac{1}{3})*(1-\frac{1}{4})...=\frac{1}{2}*\frac{2}{3}*\frac{3}{4}...$
$1-\frac{1}{n^2}型$:
利用平方差公式,减和减放一起,加和加放一起变成$1-\frac{1}{n}$型

$等比公式:\frac{a}{b}=\frac{c}{d}=\frac{e}{f}=\frac{a+b+c}{d+e+f}$
$甲:乙=7:5,乙:丙=3:4,则甲:乙:丙?→21:15:20$
$甲:乙=7:5,甲-10后,甲:乙变成了4:3,问人数?→21:15→20:15,一份10人。$
$甲:乙=7:5,甲中10人去了乙,变成了1:1,问人数?→7:5→6:6,一份10人。$
$||a|-|b|| \le |a+b| \le|a|+|b|$
$||a|-|b||\le|a-b|\le|a|+|b|$
注:关于这个绝对值的三角不等式,我总结为:同号不变,异号变号。指的是中间的量与两边比,若是不变号满足,则为同号,否则反之。举例$||a|-|b||\le|a-b|$,减号不变,ab同号。
$(a+b+c)^2=(a^2+b^2+c^2+2ab+2ac+2bc)$
$a^2+b^2+c^2+ab+bc+ac=\frac{1}{2}[(a+b)^2+(a+c)^2+(b+c)^2]$
$(a\pm b)^3=(a\pm b)(a^2\mp ab+b^2),完全立方公式为1331$
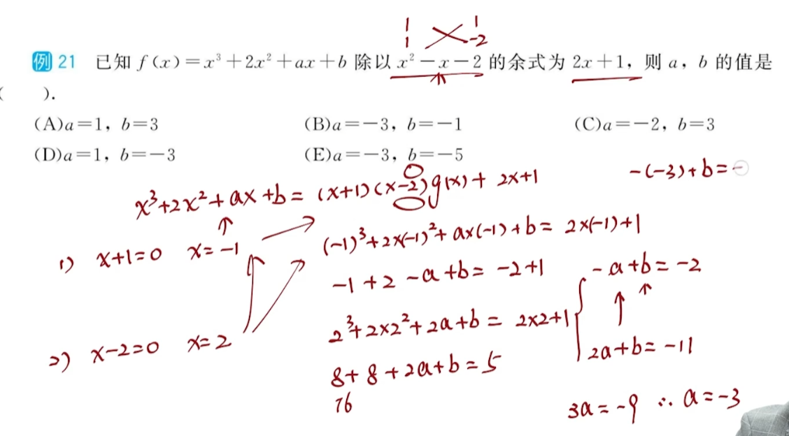
F(x)=f(x)g(x),F(x)被f(x)整除。$若存在a使得f(a)=0←→则x-a是F(x)的一个因式$
F(x)=f(x)g(x)+r(x),同上a,则F(a)=r(x)

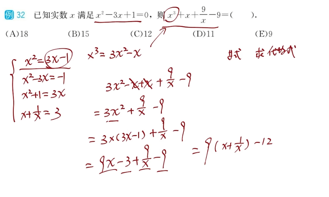
已知$x+\frac{1}{x}$:
$x^2+\frac{1}{x^2}=(x+\frac{1}{x})^2-2$
$x^3+\frac{1}{x^3}=(x+\frac{1}{x})^3-3(x+\frac{1}{x})$
$x-\frac{1}{x}=\pm\sqrt{x^2+\frac{1}{x^2}-2}$

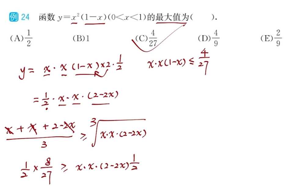
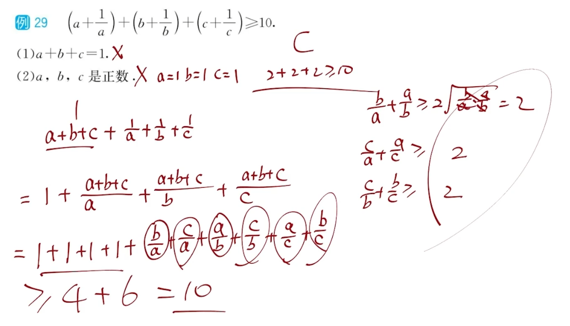
已知几个字母的和或积的值,求另一个多项式的最值;类似对勾函数的问题
$ax+\frac{b}{x}\ge 2\sqrt{ab},>0;全项相等时取等$
$\frac{a}{n}x+\frac{a}{n}x+..._{n项}+\frac{b}{x^n} \ge n\sqrt[n]{\frac{a^nb}{n^n}}$


求和的最小值:均等拆分低次项
求积的最大值:均等拆分高次项
$a+2b=1$,求$\frac{1}{a}+\frac{2}{b}$的最值
$(a+2b)*(\frac{1}{a}+\frac{2}{b})=5+\frac{2b}{a}+\frac{2a}{b}\ge5+2\sqrt{4}=9$
两个例题


$(a^2+b^2)(c^2+d^2)\ge (ac+bd)^2,ad=bc时取等$
$原理:a^2c^2+\underline{b^2c^2+a^2d^2}+b^2d^2\ge a^2c^2+2bcad+b^2d^2=(ac+bd)^2$
$2(x^2+y^2)\ge(x+y)^2 \ge4xy,x=y时取等$
$原理:x^2+y^2+\underline{x^2+y^2}\ge x^2+y^2+2xy=(x+y)^2$


基本的思想就是两个根对应图像的两个零点:
两根在不同区间时,例如
$x_1 < 1< x_2 \rightarrow af(1)<0$
$x_1∈(1,2),x_2∈(2,3) \rightarrow \begin{cases} af(1)>0\\af(2)<0\\af(3)>0\end{cases}$
两根在同区间时,还需考虑Δ和对称轴的关系
$x_1,x_2∈(1,2)\rightarrow \begin{cases} Δ \ge 0 \\ -\frac{b}{2a}∈(1,2)\\af(1),af(2)>0\end{cases}$
$1<x_1<x_2 \rightarrow \begin{cases} Δ>0\\ -\frac{b}{2a}>1\\af(1)>0\end{cases}$
在等差或等比数列中,形似 $S_m,S_{2m}-S_m,S_{3m}-S_{2m}$ 的被称为数列连续等长片段和
对于等差数列:
$S_m=a_1+a_2+\dots+a_m$
$S_{2m}-S_m=a_{m+1}+a_{m+2}+\dots+a_{2m}$
下减上,得:
$(S_{2m}-S_m) -S_m=md+md+\dots+md=m^2d, 为定值$
同理可推广,故等差数列的连续等长片段和为等差数列,公差为 $m^2d$.
对于等差数列:
$S_m=a_1+a_2+\dots+a_m$
$S_{2m}-S_m=a_{m+1}+a_{m+2}+\dots+a_{2m}$
下除上,得:
$(S_{2m}-S_m) \div S_m=\frac{a_{m+1}+a_{m+2}+\dots+a_{2m}}{a_1+a_2+\dots+a_m}=\frac{q^m(a_1+a_2+\dots+a_m)}{a_1+a_2+\dots+a_m}=q^m, 为定值$
同理可推广,故等比数列的连续等长片段和为等比数列,公比为 $q^m$.
构造特殊数列,例如差后等差数列等。例题:

识别:
$a_{n+1}-a_n = f(n)$,特点是 $a_{n+1}$ 与 $a_n$ 系数相同
方法:
先写几项观察规律(如上例题,即找出 $f(n)$),后用累加法求解。如果是单选题,先代特殊值
识别:
$\frac{a_{n+1}}{a_n} = f(n)$,特点是 $a_{n+1}$ 与 $a_n$ 系数不同,递推式无常数项
方法:
先写几项观察规律(如上例题,即找出 $f(n)$),后用累乘法求解。如果是单选题,先代特殊值
识别:
$a_{n+1}=A*a_n+B$,特点是系数不同有常数项
方法:
构造等比数列法:左右加 $t$,令 $a_{n+1}+t=A*a_n+B+t=A(a_n+t)$,写 $a_n+t$ 的通项公式
原理:
$$S_n-S_{n-1}=a_n \\ S_1=a_1$$
在ΔABC中,AD是BC上的中线,则有:$AB^2+AC^2=2AD^2+2BD^2=2AD^2+2CD^2$
在ΔABC中,AD是BC上的角平分线,则有:$\frac{BD}{DC}=\frac{AB}{AC}$
$CD^2=AD*BD(用相似三角形证明)$
内心即为三角形内切圆的圆心,是三条角平分线的交点。记忆:角平分线到角两边距离相等,内切圆圆心到边的距离相等
$$
\begin{cases}
S_Δ=\frac{1}{2}(AC+AB+BC)r\\
AE=AF,CE=CD,BD=BF\\
\text{if } RtΔ:\; r=\frac{a+b-c}{2}
\end{cases}
$$
外心即为三角形外接圆的圆心,是垂直平分线的交点。记忆:垂直平分线上的点到两端点的距离相等,三角形的端点在外接圆上。
$S_Δ=\frac{abc}{4R}$
由正弦定理证明:
$\frac{a}{\sin A}=\frac{b}{\sin B}=\frac{c}{\sin C}=2R$
$S=\frac{1}{2}ab\sin C$
特别的,对于直角三角形,外接圆的圆心是斜边上的中点。
重心即为三角形三条中线的交点。记忆:由于重心的物理意义要求平均。
中线2:1,面积1:1定理
重心把每一条中线都分成2:1的两部分,把整个三角形的面积平均分给六个小三角形;在平面直角坐标系中,重心的坐标也是三个端点的平均。
识别:题目中的三角形的底或高存在一定的数量关系。同底三角形,高之比为面积比。
所谓共角,实际上指的是共Sin值的角,所以不只有同角这一种,还需要考虑等角、补角。
基本原理如图1所示,由于$S_{ΔADE}=\frac{1}{2}AD*AE*SinA$,$S_{ΔABC}=\frac{1}{2}AB*AC*SinA$,所以$S_{ΔADE}:S_{ΔADE}=AD*AE:AB*AC$.
证明:$S_{ΔAOB}:S_{ΔAOC}=BD:DC$
$$ \because S_{ΔABD}:S_{ΔADC}=BD:DC\\ S_{ΔBOD}:S_{ΔDOC}=BD:DC\\ ∴\frac{S_{ΔABD}}{S_{ΔADC}}=\frac{S_{ΔBOD}}{S_{ΔDOC}}=\frac{S_{ΔABD}-S_{ΔBOD}}{S_{ΔADC}-S_{ΔDOC}}=\\\frac{S_{ΔAOB}}{S_{ΔAOC}}=\frac{BD}{BC} $$例题一则
风筝模型实际上也是一个等面积模型:
从BD方向看,$S_1$和$S_2$共高,又分别与$S_4$,$S_3$共底,可得$\frac{S_1}{S_2}=\frac{S_4}{S_3}=\frac{OD}{OB}$.从AC方向看同理。
蝴蝶模型在梯形中:
蝴蝶模型的等面积比之风筝模型,只多了一个特殊的地方:BC到AD的距离是一个定值。
由风筝模型可得$\frac{S_1}{S_2}=\frac{S_4}{S_3}=\frac{OD}{OB}=\frac{a}{b}(相似)$,然而易证$S_2=S_4$,故$S_1*S_3=S_2^2=S_4^2$.
由这个特性还可推出$S_1:S_3=(a:b)^2$,因为$ \frac{S_1}{S_2}=\frac{S_2}{S_3}=\frac{a}{b}$,二者相乘即得。
设直线方程为$Ax+By+C=0$,直线外一点$x_0$到直线的距离为:
$$ d_0=\frac{|Ax_0+By_0+C|}{\sqrt{A^2+B^2}} $$eg.7个人排队,3男4女,要求女生必须站一起,求排列总数?
把4个女生看成一个整体,和剩下的3个男生排列$A_4^4$,紧接着再在女生内部进行排列$A_4^4$
eg.7个人排队,3男4女,要求男生必须隔开,求排列总数?
不用隔开的女生之间放上空位(0A0B0C0D0)因为男生不相邻有隔1个、隔2个的情况,考虑起来困难。在5个空位里安插3个男生,再对女生全排列即可。$A_4^4*A_5^3$.
当相邻和不相邻同时出现时,先考虑相邻,再考虑不相邻。
当不同元素排列,整体排列但局部定序时,可以先对整体进行全排列,然后再除以局部的全排列,将局部的排列顺序确定。例如5个元素排列,其中3个顺序只有1种,那么结果是$\frac{A_5^5}{A_3^3}$。
讨论万能元素是否参与挑选:
讨论万能元素是去哪一边:
在(2),(6)中,两组无名组别人数一样时要消序。
4个人住3个房间,房间可以为空,有多少排列方式?
对于4个人中的每一个,都有3个房间可以选择,所以是$3*3*3*3$
在这个问题中,人是不可重复元素,即一个人不能既住房间1,又住房间2。而房间则是可重复元素,即一个房间可以既住A,又住B,甚至可以不住。对于简单的、基础的分房问题,有通解:$可重复元素^{不可重复元素}$,记忆为可下不可上。
4个相同的小球,放进3个不同的盒子ABC里,每个盒子至少有一个,有多少排列方式?
这个问题可以等价于用隔板把相同的小球分为3部分:O|O|OO,也可以想象成用剪刀把绳子剪成几段。
一般而言$n$个相同的小球,有$n-1$个缝隙可以放隔板;而$m$个不同的盒子,则需要放$m-1$个隔板,才能把小球分成$m$份(一刀两断)。故问题转化为了在$n-1$个缝隙中挑$m-1$个位置放隔板的问题——$C_{n-1}^{m-1}$。
注意使用隔板法必须满足以下条件:
但是天有不测风云:假如条件3不满足,应该怎么办呢?
4个相同的小球,放进3个不同的盒子ABC里,每个盒子至少有一个,有多少排列方式?
使用增加元素法:‘增加’3个小球先放进盒子里,就满足每个盒子至少有一个了。此时再对7个小球、3个盒子进行隔板法即可。在用这种方法分配完之后,在每个盒子中拿掉一个,就是实际上可以为空的分配方法了。推广地,对于n球m盒可为空,则加上m个球,再计算$C_{n+m-1}^{m-1}$即可。
但是有不满足,就有过满足:假如有一些盒子里至少要放两个、三个,怎么办呢?
10个相同的小球,放进3个不同的盒子ABC里,每个盒子至少有一个,C盒中至少放3个,有多少排列方式?
这个更简单:直接在分配之前从总球数里给你几个,使你至少放1个即可满足要求即可。对所有有特殊要求的对象都进行初次分配,譬如这里的C盒:先放两个球进去,再对剩下的8球3盒做一个基本的隔板法。
这个题型属于比较冷门的题型,冷门到没有系统的解法,只用记结论就够了。
题目形如:编号为1,2,3...n的小球放到编号1,2,3...n的盒子里,要求小球与盒子不同号,有几种方法?
直接记忆结论:n=2时有1种;n=3时有2种;n=4时有9种;n=5时有44种。一般来讲记前面这四个已经够用。记忆的方法也有一个口诀:1,2,9,44->要爱就试试(||O_O),这几个数也被称为错排数。
对于直线型的涂色问题,我们直接使用乘法原理就可以算。
对于环形的涂色问题,也有对应的公式给出:
一个环形区域(广义的环形,只要分割的色块是首尾相连的即为环形)被分成k块,用s种颜色去填充,要求相邻的块颜色不同,问有多少种填色方法?
直接给出公式如下,由于公式推导比较困难,记忆即可:
$$ result=(s-1)^k+(-1)^k*(s-1) $$
二项式系数具有以下性质: